The Skateboarder In The Drawing Starts Down


The Skateboarder In The Drawing Starts Down - One area that promises significant growth is the integration of sustainability into design practices. They are versatile, customizable, and integral to a wide range of personal, professional, and creative pursuits. And because you're in control of the design process, you can experiment with different layouts, colors, and fonts until you find a look that truly captures the essence of who you are. Educational institutions, too, rely heavily on calendars for planning and communication. For many creative professionals, such as writers, designers, and photographers, the act of planning can be just as creative as the work itself. These calendars provide a centralized place where everyone can check what is coming up, reducing confusion and helping with time management. For instance, a monthly calendar overview can be printed and displayed, while detailed daily plans remain on a digital device. These interactive elements blur the line between the tangible and digital worlds, offering users the best of both formats. Unlike traditional calendars that can quickly become outdated or obsolete, printable templates can be easily edited and reprinted as needed. These calendars serve a dual purpose: they provide practical value to recipients while keeping the business top-of-mind throughout the year.

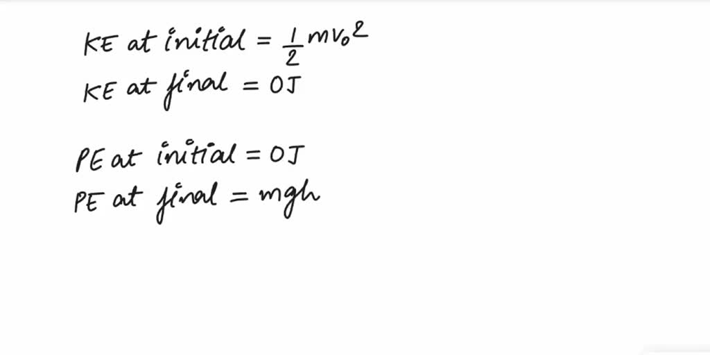
Solved The skateboarder in the drawing starts down the left

The skateboarder in the drawing starts down the left side of the ramp with an initial speed of 5.4 m/s. Neglect nonconservative forces, such as friction and air resistance, and.

SOLVED The skateboarder in the drawing starts down the left side of

He skateboarder in the drawing starts down the left side of the ramp with an initial speed of 5.1 m/s. Neglect nonconservative forces, such as friction and air resistance, and.

Learn How to Draw a Skateboarder (Skateboarding) Step by Step Drawing

Vf = vi + at. The skateboarder in the drawing starts down the left side of the ramp with an initial speed of 4.8 m/s. The skateboarder in the drawing.

Learn How to Draw a Skateboarder (Skateboarding) Step by Step Drawing

Neglect nonconservative forces, such as friction and air resistance, and find the height h. The skateboarder in the drawing starts down the left side of the ramp with an initial.

How to Draw Skateboarder Step by Step YouTube

The skateboarder in the drawing starts down the left side of the ramp with an initial speed of 5.4 m/s. Neglect nonconservative forces, such as friction and air resistance, and.

Solved The skateboarder in the drawing starts down the left

Neglect nonconservative forces, such as friction and air resistance, and find the heighth. The skateboarder in the drawing starts down the left side of the ramp with an initial speed.

Solved The Skateboarder In The Drawing Starts Down The Le...

The skateboarder in the drawing starts down the left side of the ramp with an initial speed of 4.9 m/s. V f, v i are the final and initial velocities,.

How to Draw a Skateboarder Easy Drawing Tutorial For Kids

He skateboarder in the drawing starts down the left side of the ramp with an initial speed of 5.1 m/s. The skateboarder in the drawing starts down the left side.

Learn How to Draw a Skateboarder (Skateboarding) Step by Step Drawing

Neglect nonconservative forces, such as friction and air resistance, and find. Neglect nonconservative forces, such as friction and air resistance,. Neglect no conservative forces, such as friction and air resistance,.

SOLVED The skateboarder in the drawing starts down the left side of

Neglect nonconservative forces, such as friction and air resistance, and find the height h. The skateboarder in the drawing starts down the left side of the ramp with an initial.

Similarly, a motivational calendar might include inspiring quotes or affirmations for each day or week, encouraging users to stay positive and focused on their goals. This inclusivity reflects the universal appeal of printables and templates as tools that transcend borders and foster connection. These efforts contribute to reducing waste and promoting sustainability while maintaining the practicality and creativity that printable templates offer. These types of templates are widely used for tracking everything from fitness and nutrition goals to mental health and personal development milestones. These printable wellness templates have gained significant popularity among individuals who want to take a more organized approach to their physical and mental health, offering an ongoing reminder of their health goals. For families, calendars often serve as the backbone of household organization. Planners that include weekly or daily calendar templates offer more granular control over time management, enabling users to break down their tasks and prioritize effectively. Nonprofit organizations also benefit from printable calendars and templates, especially when it comes to scheduling events, campaigns, and community outreach initiatives. For instance, an art teacher might distribute templates of a tree and encourage students to create their own interpretations by adding details, colors, and textures. These services often include exclusive design elements, advanced customization tools, and tutorials, making it easier for users to create high-quality outputs.

Businesses can distribute branded printable calendars as promotional items, featuring their logo, contact information, and key messaging. Templates designed for drawing are not only limited to traditional art forms. One of the most exciting aspects of printable calendar templates is the ability to incorporate your own personal style and interests into the design. The entertainment industry has also embraced printables and templates as tools for engagement and promotion. This includes optimizing templates for double-sided printing, using ink-saving designs, and promoting digital-first options. Additionally, printables that include reminders for sustainable practices, such as waste tracking or eco-friendly lifestyle tips, are gaining traction among environmentally conscious users. But when it comes to calendars, the possibilities are endless. Whether you're a fan of digital tools or traditional paper-based planners, printable templates offer a unique and creative way to stay on top of your schedule and appointments. Many individuals use drawing templates as a form of stress relief, engaging in activities like coloring or sketching to unwind and relax. Looking ahead, the future of printable calendars and templates is filled with possibilities.

Related Post: